Download the pdf for more information on becoming ISO certified.

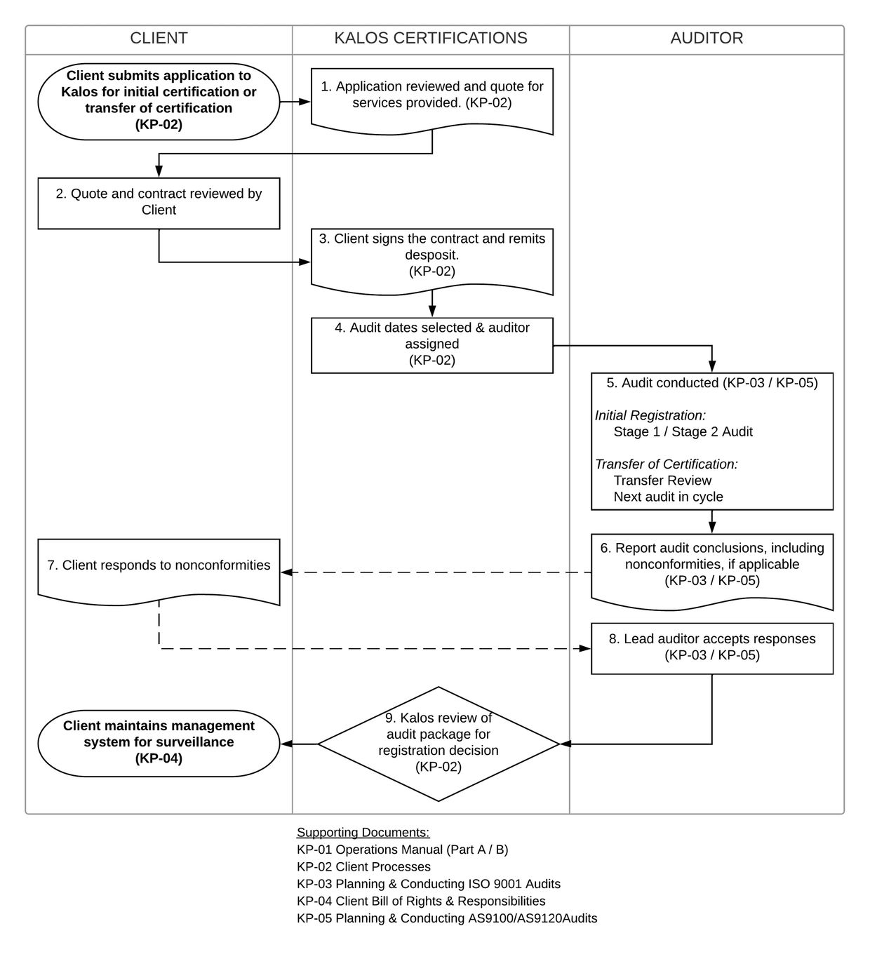
Stage 1
The purpose of the stage 1 activity is to determine readiness for certification.
Stage 2
The purpose of stage 2 is to evaluate the implementation, including effectiveness, of the client’s management system.
Surveillance
The purpose of the surveillance audits is to give Kalos Certifications confidence that the client’s certified management system continues to fulfill requirements between recertification audits.
Recertification
The purpose of the recertification audit is to confirm the continued conformity and effectiveness of the management system as a whole, and its continued relevance and applicability for the scope of certification.
Kalos Certifications
22601 N 17th Ave, 120, Phoenix, AZ 85027, US
We use cookies to analyze website traffic and optimize your website experience. By accepting our use of cookies, your data will be aggregated with all other user data.